物质学院柳学榕教授课题组利用同步辐射漫散射实验技术,定量表征了铜基超导体La2-xSrxCuO4中掺杂引起的局域亚埃级微小晶格应变,从而首次明确了晶格非均匀应力不是铜基超导体能隙不均匀性行为的成因。近日,相关成果以“Quantitative Characterization of the Nanoscale Local Lattice Strain Induced by Sr Dopants in La2-xSrxCuO4”为题,发表在物理学旗舰期刊《物理评论快报》(Physical Review Letters)上。
铜基超导体中的高温超导现象是凝聚态关联电子体系研究中的桂冠。30年来,随着研究不断深入,科学家发现,在纳米的微观尺度上,铜基超导体的贗能隙、超导能隙都表现出强烈的空间不均匀性。对这种不均匀性起源的理解是描述铜基超导体宏观输运行为的基础。尽管在理论上,向一个莫特绝缘体引入载流子可能会自发导致电荷相分离,但在实验上发现纳米尺度上电荷不均匀性和杂质离子的空间分布相关。掺杂离子不仅向铜氧层贡献载流子,而且自然地会对局域电子结构产生微扰。一般而言,微扰存在三种形式:杂质离子的局域势,原胞内近邻的原子位置偏移,和伴随的纳米尺度晶格应变。
在本研究中,研究团队对其中一种微扰形式——纳米尺度的晶格应变,进行定量表征。当晶体中原子位置受到热扰动或杂质引起的应力场扰动,偏离其原先处于的周期位置时,会产生X射线漫散射,分别叫做热漫散射(TDS)和黄昆漫散射(HDS)。
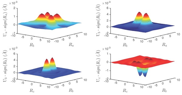
X射线散射是表征材料晶格周期性的重要手段,并对微小应变极为敏感。众所周知,一个完美的晶格对应δ函数形貌的X射线布拉格峰。而当晶格中存在畸变而偏离完美周期时,会产生X射线漫散射,在晶体布拉格峰附近产生特殊的微弱散射尾巴,称为以我国著名物理学家命名的黄昆漫散射(HDS)。研究团队选取La2-xSrxCuO4(LSCO), x=0.08的样品,在温度为7K时,测量(0 022)和(2022)布拉格峰附近的漫散射(图1)。这些存在明显峰和谷的漫散射图案是HDS的典型特征。他们发现,这样的漫散射强度分布可以很好地用连续弹性介质理论描述,并定量地重构了掺杂离子附近纳米区域内的晶格应变(图2)。重构结果显示,最大的应变在0.001Å量级,位于杂质原子周围大约1纳米处,当远离杂质原子时,应变迅速变小一个量级。这样的局域应变太小,不可能是铜基超导体能隙不均匀性行为的成因。
铜基超导体的高温超导现象是一个极为重要的性质,并已被应用在我们生活的方方面面,比如超导输电线等。但其物理机制在经过30多年全世界物理学家的努力后,仍然是一个谜。此次工作首次在10-13米量级定量地表征了La2-xSrxCuO4中的局域应变,为进一步理解铜基超导体中纳米尺度上贗能隙,超导能隙的空间不均匀性扫除了一个重要障碍。
该论文中,九游体育(www.jiuyou.com)官方网站访问生、博士研究生林佳琪为第一作者,柳学榕为通讯作者。该研究主要得到了科技部、上科大启动经费、中科院的大力支持。该工作的实验部分在美国Argonne国家实验室先进光源完成。
论文链接:
https://journals.aps.org/prl/pdf/10.1103/PhysRevLett.120.197001

图1:(0 022)和(2022)布拉格峰附近的漫散射图案。a-c:实验数据,d-f:考虑热扰动和HDS计算得到的漫散射图案,参数是从拟合结果中提取。测量温度为7K。

图2:重构的应变图案在ab面(上半部分),bc面(下半部分)上的分布形貌。杂质原子处于原点。R的单位为单个原胞。Ua,b,c是应变矢量U(R)在a,b,c方向的分量。
