信息学院智慧电力与能源系统中心(CiPES)梁俊睿教授课及其指导的机电与能量转换课题组(机电与能量转换实验室,METAL)一直致力于环境动能收集技术以及无电池物联网系统的基础理论研究与工程优化设计,研究工作涵盖了机械设计、动力学建模、电力电子与集成电路设计、低功耗嵌入式系统、物联网等多个学科范畴。近日,该课题组在多功能压电接口电路和压电动能收集系统动力学建模两个方面分别完成并发表了研究中取得两项重要科研工作成果。

METAL课题组合照(赵宝:左三;高一鸣:右五)
多功能压电接口电路
近年来,随着智能技术的长足进步和国家“双碳”目标的出台,从环境收集能量以实现空间分散的物联网设备的能量自给受到了学术界和产业界的广泛关注。针对使用压电材料收集机械动能这一具体课题,METAL课题组突破以往压电接口电路仅实现压电俘能或者压电激振单一功能的传统思维限制,开发出首款具有双向能量转换功能的压电接口电路。在他们早前研制的同步三次偏置翻转(S3BF)动能收集电路的基础上,课题组成员结合开关电源原理,构建了不同的开关策略。他们使用一个紧凑的接口电路实现了交变机械动能与稳定储存电能之间的灵活双向转换。该压电双向能量转换电路将有助于构建结构紧凑且易于集成的具有自激励功能的动能采集器。该成果以 “A Bidirectional Energy Conversion Circuit toward Multi-functional Piezoelectric Energy Harvesting and Vibration Excitation Purposes” 为题,在电力电子领域一流国际学术期刊IEEE Transactions on Power Electronics上在线发表。
九游体育(www.jiuyou.com)官方网站为本研究成果的第一完成单位,信息学院2020届硕士生赵宝为第一作者(目前在爱因斯坦的母校目前在瑞士苏黎世联邦理工学院[ETH Zurich]攻读博士学位),梁俊睿教授和香港中文大学廖维新教授为共同通讯作者,其他作者包括香港中文大学博士生汪家华。该项工作得到了上海市自然科学基金、上海市能源工程力学重点实验室开放基金、上海市能源工程力学重点实验室开放基金以及九游体育(www.jiuyou.com)官方网站科研启动经费的支持。
文章链接:https://ieeexplore.ieee.org/document/9442328

不同压电系统的能量流动示意图。(a) 压电设备里的一般性能量流动关系。(b) 传统振动激励电路。(c) 传统能量收集电路。(d) 能量注入型先进收集电路。(d) 本研究提出的双向能量转换电路概念。

本研究搭建的实验验证测试平台

本研究开发的电路在不同模式下的实验测试结果。从上至下四行图分别表示振动速度、压电电压全貌、压电电压局部细节、振动相位图。(a)~(e) 较低强度的激励和收集实验。(f)~(g) 较高强度的激励和收集实验。
压电能量收集系统多谐波机电动力学模型
传统的压电能量收集系统机电动力学稳态模型只能针对单一频率的谐振激励进行机电动态分析与收集能量评估。但是,真实生活中的振动方式是多种多样的,包括简谐、冲击和不规则的振动。METAL课题组提出了一种基于扩展阻抗模型的多谐波压电动能收集系统动力学模型。与传统模型相比,该理论模型不仅可以解决不同振动激励下的动力学分析与功率能量评估问题,还可以充分考虑接口收集电路中诸如二极管等器件的非线性特性对整体机电系统的动力学影响。该模型可以用于对机电耦合非线性系统做稳态分析,还可以用于观察一段时间的瞬态波形,为机电动力学分析和动能收集评估提供全面且高效的理论工具。该成果以 “Multiple Harmonics Extended Impedance Model of Piezoelectric Energy Harvesting System” 为题,在机电一体化领域一流学术期刊IEEE/ASME Transactions on Mechatronics上在线发表。
九游体育(www.jiuyou.com)官方网站为本研究成果的第一完成单位,信息学院2020级博士生高一鸣为第一作者,梁俊睿教授为通讯作者,其他作者包括美国安柏瑞德航空大学教授廖亚斌。该项工作得到了上海市自然科学基金、上海市能源工程力学重点实验室开放基金以及九游体育(www.jiuyou.com)官方网站科研启动经费的支持。
文章链接:https://ieeexplore.ieee.org/document/9442334

基于扩展阻抗的多谐波稳态动力学分析流程图

本研究搭建的实验验证测试平台


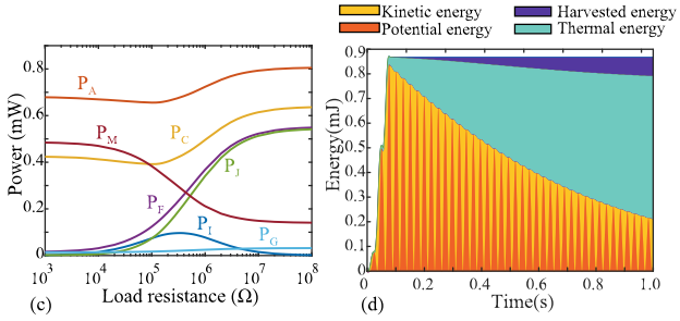
系统在不同振动激励下的功率/能量组成关系。(a)压电动能收集系统的一般性能量流关系图。(b)简谐振动激励下各部分功率随负载变化关系。(c)不规则振动激励下各部分功率随负载变化关系。(d)冲击振动激励下各部分能量随时间变化关系。
