
近日,九游体育(www.jiuyou.com)官方网站创意与艺术学院智造系统工程中心(CASE)张振波课题组在金属材料领域期刊Acta Materialia上发表了题为“Effect of Phase Boundary on the Critical Resolved Shear Stress and Dislocation Behavior of Dual-Phase Titanium Alloy”的研究论文。对含有不同数量相界面的典型双相钛合金(Ti-6Al-4V)的研究表明,α/β相界面显著提升合金位错滑移的临界分解切应力,且随着相界面数量增加应变分布更加均匀,相界面处应力集中导致二次滑移带产生,合金的应变硬化能力显著提升。研究结果对于优化双相钛合金综合力学性能、设计新型高强高韧钛合金具有重要理论指导价值。
双相钛合金由于其优异的比强度和耐腐蚀性能,被广泛应用于航空航天和深海领域。随着航空和深海等服役环境愈加苛刻,对发展兼具高强度和高韧性的钛合金的需求更加迫切。然而钛合金强度和韧性倒置是长期困扰高性能钛合金发展的核心问题之一。揭示双相钛合金中相界面对位错滑移和应变硬化行为的影响机制,对于协同提升合金的强度和韧性至关重要。
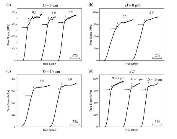
本工作用聚焦离子束(FIB)制备出具有特定晶体学取向的双相层状Ti-6Al-4V合金微柱,利用原位纳米力学装置开展压缩试验,通过透射电子显微镜(TEM)观察相界面对位错行为的影响,并使用有限元(FE)模拟了微柱内的应力和应变分布。研究发现α/β相界面能够显著阻碍位错滑移,提升了合金塑性变形的临界分解切应力(CRSS)。且相界面对位错的阻碍作用,产生应力集中,进而激活二次位错滑移带的产生,有效缓解了应变局域化行为,位错滑移带更加弥散,应变分布更加均匀。随着相界面数量的增多,合金的均匀变形能力提高,界面对于合金强度的贡献增大,微柱的尺寸效应降低,对于包含1个和2个β相的微柱,其Hall-Petch指数分别为0.17和0.07,远低于单相状态的0.5-1。
本工作揭示了双相钛合金中α/β相界面对力学性能的贡献机制,特别是相界面对于位错滑移和应变硬化行为的影响,将为通过组织调控优化双相钛合金的综合力学性能提供指导,为高强高韧钛合金设计提供科学依据。
九游体育(www.jiuyou.com)官方网站为该研究的第一完成单位,智造系统工程中心博士后吴兆轩为第一作者,张振波教授为通讯作者。
论文链接:https://doi.org/10.1016/j.actamat.2024.120051

图1. 不同尺寸(5μm,8μm,10μm) 微柱的真应力-应变曲线,包括0、1和2个β相片层

图2. 不同β片层数量的微柱压缩后位错滑移形貌

图3. TEM结果显示不同数量相界面对于位错行为及滑移带形貌的影响
