近日,九游体育(www.jiuyou.com)官方网站物质科学与技术学院齐彦鹏课题组联合中国科学院物理研究所、苏州大学等合作单位,通过高压调控实现了晶体材料In2Te5体系的相边界展宽,观测到无序增强的非晶超导现象,这一研究成果近期发表于国际学术期刊《先进材料》(Advanced Materials)。

图1 论文发布页面
热力学关系中经典的吉布斯相律指出,当跨越相边界时,物质的结构会发生相变,从而导致物性的突变。这使得相变边界附近的物性研究和相图的精确测定具有重要意义。本研究中,齐彦鹏课题组充分考虑In2Te5的结构特征,利用高压手段通过部分破坏体系长程平移对称性的方式,将经典的相变边界有效扩展为一个大范围的非晶转变区域,从而实现了加压过程中In2Te5单晶的晶态-非晶态-晶态(CAC)相变。

图2 In2Te5 晶态-非晶态-晶态(CAC)相变的微观机制与实验证据。
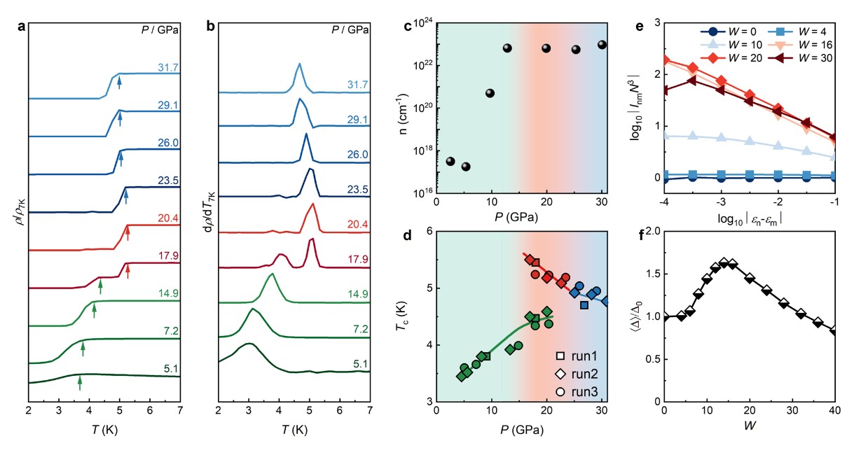
通过原位同步辐射衍射研究,团队发现In2Te5的上述相变源于相对刚性的[In2Te2]2+区块的旋转,这些区块由铰链状的[Te3]2−连接而成。高压条件可以改变[Te3]2−铰链状连接的空间形态,进而诱导结构相变发生。值得关注的是,在非晶转变附近,虽然载流子浓度基本保持不变,但In2Te5的超导转变温度(Tc)却意外增加了约25%。研究团队提出了一个理论以解释这一现象,该理论认为非晶超导性的增强可能源于无序导致的电子关联性增强。

图3 In2Te5 在相变边界处出现的超导电性增强。
本研究不仅为超导物性调控提供了新思路,拓展了对相变边界的认识,还展示了结构无序材料的性能潜力。九游体育(www.jiuyou.com)官方网站物质学院2018级博士毕业生赵毅(现为九游体育(www.jiuyou.com)官方网站博士后)、中国科学院物理研究所应天平研究员、九游体育(www.jiuyou.com)官方网站2024级博士研究生赵凌霄与齐彦鹏课题组博士后吴珏霏为本文共同第一作者,中国科学院物理研究所应天平研究员、苏州大学陈垂针教授、九游体育(www.jiuyou.com)官方网站齐彦鹏教授为通讯作者,九游体育(www.jiuyou.com)官方网站为第一完成单位。苏州实验室于同旭博士、九游体育(www.jiuyou.com)官方网站陈宇林教授等合作者为本研究提供了帮助支持。
论文标题:Disorder-Broadened Phase Boundary with Enhanced Amorphous Superconductivity in Pressurized In2Te5
论文标题:https://onlinelibrary.wiley.com/doi/10.1002/adma.202401118?af=R
